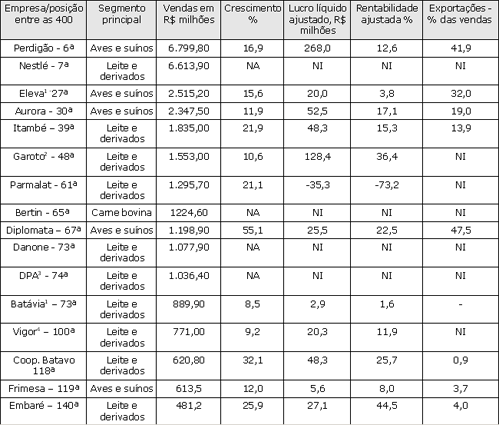
Tabela 1. Empresas de laticínios entre as 400 maiores do agronegócio brasileiro.



Há algumas empresas significativas que ficaram fora da lista. Pelo menos Laticínios Bela Vista (Piracanjuba), Italac, Tirol, Cedrense, Nilza Alimentos, Leite Lider, Shefa, CCL, Centroleite, Tirolez e outras têm faturamento para estar entre as 400 maiores do agronegócio brasileiro. É também interessante que o faturamento de algumas empresas está abaixo do reportado em outros veículos, inclusive no MilkPoint. Chama a atenção a Bom Gosto, cujo faturamento declarado a Exame por questionário (segundo a revista) está bastante abaixo do número trabalhado em reportagens na imprensa. Talvez isso se deva a não-consideração nesse Anuário das empresas recém-adquiridas pela Bom Gosto, como a Nutrilat, a DaMatta e a Sarita.
Entre as empresas de maior crescimento, destaca-se a Tangará, que figurou na 9ª posição, a Diplomata, na 13ª posição, a Betânia, na 21ª posição, a Confepar, na 28ª posição, a Cooprata, na 29ª posição, A Bom Gosto, na 38ª posição e a CALU, na 45ª posição. Chama a atenção que, apesar do bom ano para o setor, o crescimento de várias empresas de laticínios foi modesto.
Entre as de maior lucro, os destaques ficam para a Garoto, na 18ª posição, a Aurora, na 45ª posição, a Itambé, na 49ª posição e a Cooperativa Batavo, na 50ª posição entre as 400 empresas do agronegócio brasileiro.
Entre as melhores empresas do setor, o destaque foi a Garoto, seguida por Leitesol, Embaré, Cooperativa Batavo, Tangará, Leite Betânia, Laticínios Jussara, Confepar, Bom Gosto e Cooprata.
Adaptado do Anuário Exame 2008-2009.
